Hydroponics wastewater
treatment system

Hydroponics wastewater
treatment system

  • Products
  • Hydroponics wastewater treatment system

  • Theory
  • Examples
  • Applications
Theory

The hydroponics wastewater treatment system is a system that biologically and chemically treats the wastewater containing nitrogen and phosphorus generated from hydroponic cultivation to meet the standards for wastewater discharge.

  • Nitrate nitrogen is removed through biological treatment using sulfur-oxidizing microorganisms attached on sulfur particles and iron compounds.
  • Phosphorus is solidified and treated through the iron component of iron compounds (Fe(OH)₃).
  • If the nitrogen content in the influent is high, small amount of organic carbon sources can be utilized.
  • The iron component (Fe(OH)₃) removes H₂S, which can be produced during autotrophic sulfur denitrification, preventing the occurrence of odor.
  • The adsorbed H₂S can be recycled as an energy source during nitrate removal, saving the consumption of sulfur particles.
Examples
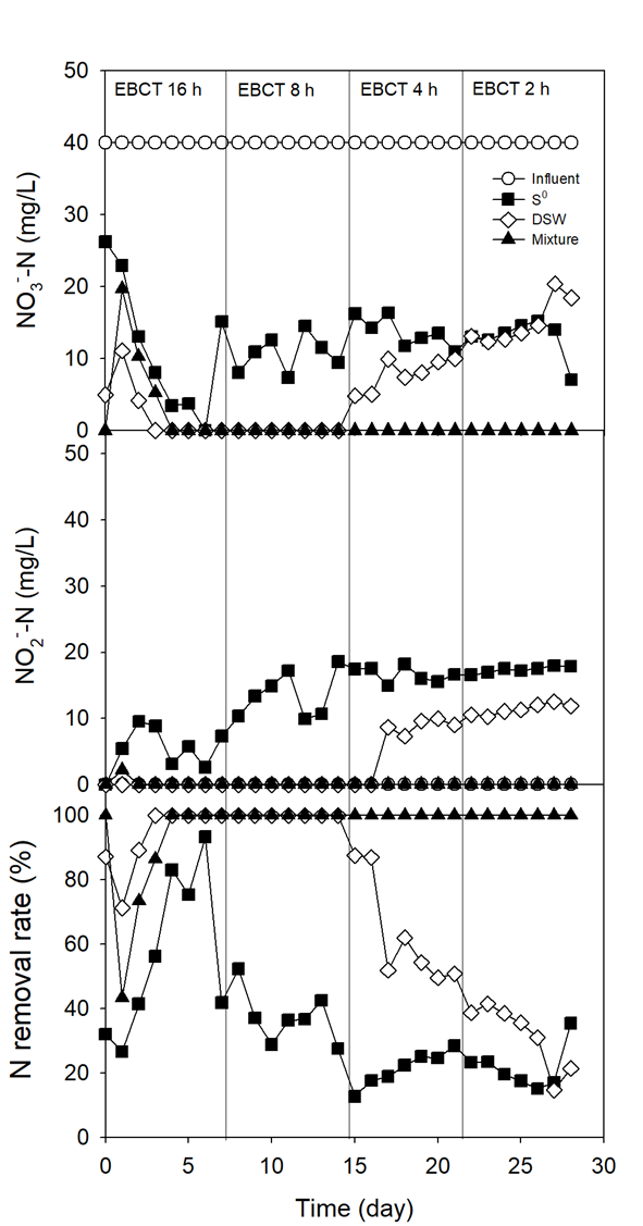
  • Effects of HRT and the ratio of sulfur particles and desulfurized solid wastes on nitrate removal.

  • Nitrogen removal depend on EBCT and changes of the sulfate, phosphate

Applications
  • Treatment of hydroponics wastewater
  • N and P treatment in domestic wastewater
  • N and P treatment in industrial wastewater