The hydroponics wastewater treatment system is a system that biologically and chemically treats the wastewater containing nitrogen and phosphorus generated from hydroponic cultivation to meet the standards for wastewater discharge.
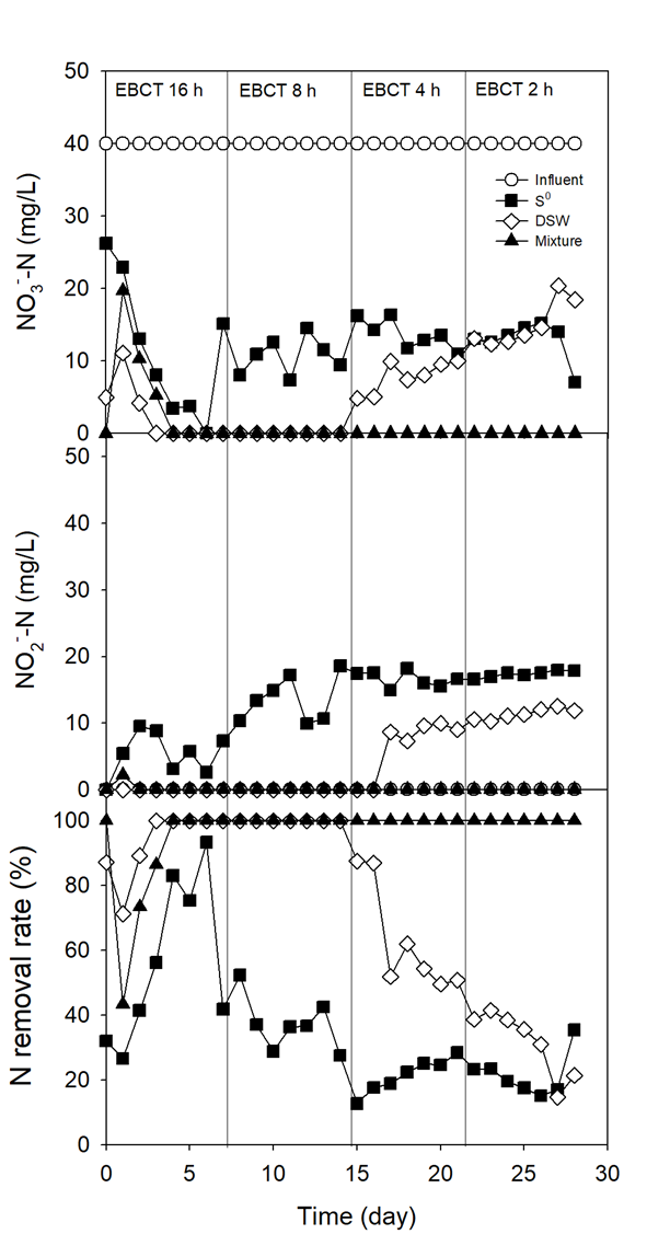
Effects of HRT and the ratio of sulfur particles and desulfurized solid wastes on nitrate removal.
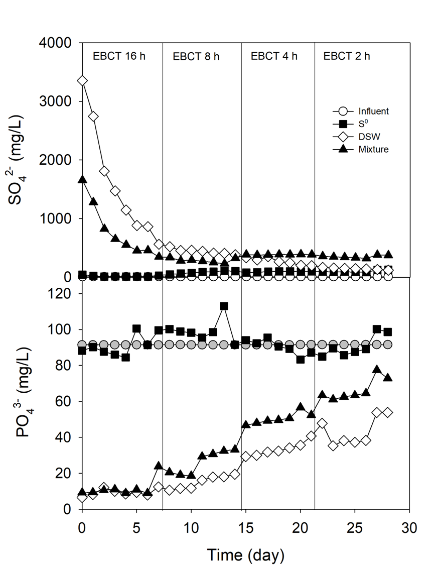
Nitrogen removal depend on EBCT and changes of the sulfate, phosphate